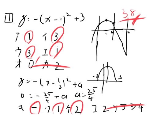
2015年センター試験にチャレンジ 下記の前回の記事の続きです。 英語と国語で私が妻に完全勝利。今回は、数学(夫)vs現代社会(妻)という異種格闘技戦(?)です。 試験結果 数学IA(夫):38点/100点 現代社会(妻):55点/100点 まさかの完敗… 夫回答 妻…
引用をストックしました
引用するにはまずログインしてください
引用をストックできませんでした。再度お試しください
限定公開記事のため引用できません。